星筑星光里共有产权住房项目递补选房公告
扫描到手机,新闻随时看
扫一扫,用手机看文章
更加方便分享给朋友
大兴区星筑星光里共有产权住房项目将于2024年3月16日—19日进行递补选房。本次选房仍将采取线上选房方式,线上选房软件由搜狐焦点负责提供,本次递补选房活动由北京市方圆公证处依法全程公证。
为方便购房家庭顺利选房,请申购家庭仔细阅读本公告内容,并认真按照公告要求做好准备工作,避免由于自身原因影响正常选房。
一、项目基本情况
该项目位于北京市大兴区瀛海镇域YZ00-0803-2019、2057地块,四至为:东至瀛义街,南至瀛信路,西至瀛通路,北至瀛宏路。项目本次配售套数1332套。销售价格为29000元/平方米(按建筑面积计算,根据具体楼层、朝向等因素在±5%的范围内调整销售价格),全装修交房。
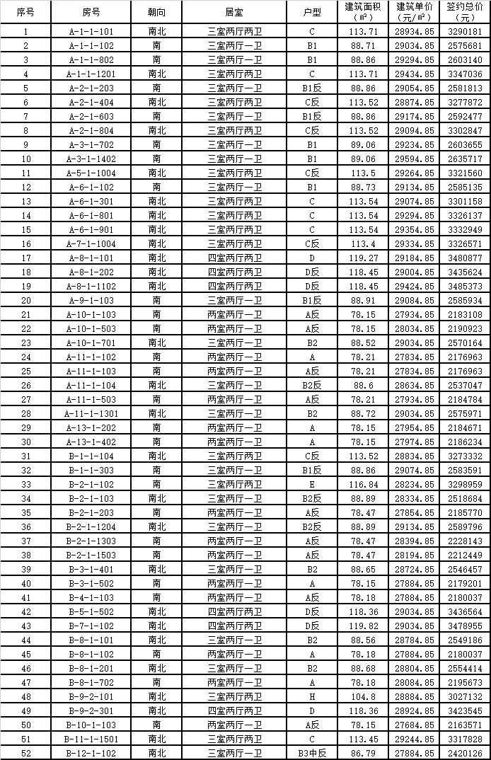
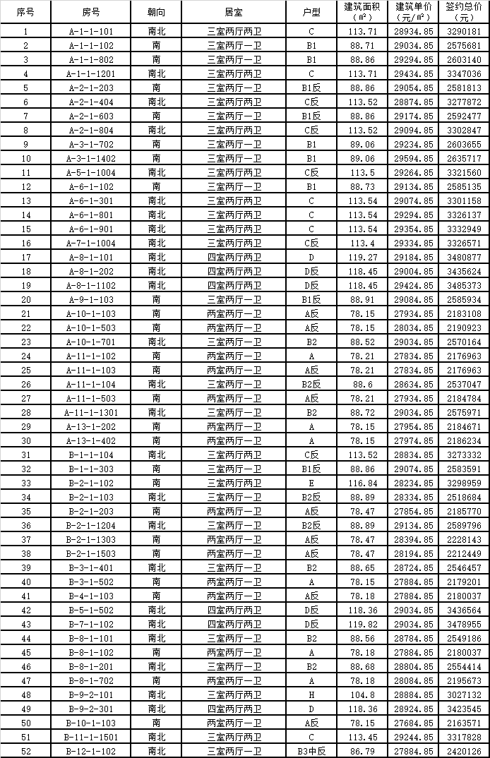
该项目已于2023年12月16日至12月20日开展的首次申购选房工作,截至2024年3月11日,项目房源剩余108套,其中,二居室21套,建筑面积约78平方米;三居室72套,建筑面积约86—116平方米;四居室15套,建筑面积约119平方米。本次配售的剩余房源详见附件1-2。
该项目单套住房的申购家庭产权份额比例为70%,北京市大兴区保障性住房建设投资有限公司(目前北京市大兴区保障性住房建设投资有限公司正在与北京燕兴保障性住房建设投资有限公司开展交接手续,待交接完毕后变更北京燕兴保障性住房建设投资有限公司)为政府产权份额代持机构,持有剩余30%份额。
二、选房工作安排
(一)分组选房
本次递补选房本着“谁组退出、谁组递补选房”的原则,即京籍家庭退回房源由京籍家庭递补选房,非京籍家庭退回房源由非京籍家庭递补选房。各组递补选房家庭按照2023年12月07日发布的《大兴区星筑星光里共有产权住房摇号结果的公告》中的选房顺序依次递补选房,具体如下:
本次面向申请人为本市户籍无房家庭房源共52套,选房顺序号从第二组城六区和经开区户籍无房家庭及在城六区和经开区工作的本市其他区户籍无房家庭的第2322号开始,至5139号申购家庭。
本次面向申请人为非本市户籍无房家庭房源共56套,选房顺序号从第五组在城六区和经开区工作的非本市户籍无房家庭的第3601号开始,至5685号申购家庭。
(二)客户通知
开发企业工作人员将于2024年3月15日前根据大兴区人民政府网站2023年12月07日发布的《大兴区星筑星光里共有产权住房摇号结果的公告》,在公证监督下拨打电话通知申购家庭,联系电话号码为申请人申购本项目时填报的电话号码,开发企业将通知上述第二组2322-5139号和第五组3601-5685号申购家庭,请保持电话畅通,如电话未接通,将会发送短信通知,请申请人注意查看,若未接到通知请及时与开发企业联系。
(三)模拟测试
开发企业将分别于2024年3月15日上午9:00-12:00、下午14:00-22:00举行2轮选房模拟测试,模拟测试仅用于申购家庭熟悉选房系统操作。在测试过程中将按京籍和非京籍同时开通购房家庭选房权限,不设置选房顺序,测试结果不作为正式选房依据,演练房源数量非正式选房房源数量。模拟测试结束后,将清空所有数据。申购家庭仅在模拟测试期间可登录系统。
(四)正式选房
1.正式选房开始时间:京籍、非京籍组正式选房时间为2024年3月16日至2024年3月19日,选房操作时间为当日9:00-19:00。18:00起停止开通选房权限。
2.登录:购房家庭应按《星筑星光里选房家庭各号码段正式选房时间段排布表》(详见附件3-4)中公示的选房时段,提前连接配置好4G/5G或WIFI网络,扫描京籍、非京籍对应的选房系统二维码(详见附件5)。线上选房全过程视为申购人本人操作。
2024年3月16日上午8:00起,申购家庭可进入选房系统,但选房权限会根据摇号顺序依次开通,建议预留充足的时间做好选房准备,并把意向房源加入到收藏,以便在选房权限开通时快速从收藏房源栏内选定房源。选房当日未登录选房系统的申购家庭视为放弃本次选房,不计弃选次数,次日起将不能进入选房系统。
3.选房:选房权限按照摇号顺序每40秒依次开通,申购家庭选房权限开通后可进行选房操作(注意:点击“立即选房”后,需继续点击“确认”才能锁定房源),房源一经确认不可更改。若未在40秒内确认房源,可继续参与选房,但在40秒时间到达后,当前申购家庭的后一组申购家庭选房权限也将开通并参与选房。在选房当日19:00仍未选择房源的申购家庭视为放弃本次选房,不计弃选次数,次日起将不能进入选房系统,线上选房操作指引详见附件6。
4.签订《认购书》和《承诺书》:确认房源后系统将弹出《认购书》和《承诺书》签字的界面,主申请人需于认购当日19:00前完成签名,在签署前应详细阅读认购协议全部内容,一经签字确认,即产生法律效力。
对截至选房当日19:00,已确认房源但未签署协议的申购家庭,开发企业将进行清退,经公证处公证后,房源于次日选房开始前释放至系统。清退后,申购家庭次日起将不能进入选房系统,并计1次弃选。
5.缴纳认购定金:需在认购当日24:00前(开发企业收到款项时间为准),以转账形式向开发企业指定账户缴纳认购定金人民币10万元。选房家庭需提前确认银行卡无转账限额且资金充足,转账时选择到账形式为实时到账。
开发企业将对截至当日24:00未足额缴纳定金的申购家庭进行清退,经公证处公证后,房源于次日选房开始前释放至系统。清退后,申购家庭次日起将不能进入选房系统,并计1次弃选。
转账时请备注好主申请人姓名和选定房号(如张三,A1-1-101,注意在房号前备注好地块A或B),收款账户信息如下:
账户名称:北京壹品文旅置业有限公司
账户号码:0200268209200174503
开户行:中国工商银行股份有限公司北京大兴经济开发区支行
6.如因选房系统后台网络或系统故障等不可抗力因素导致选房活动意外中止的,已选房源数据结果继续有效,开发企业将在现场公证人员监督下,封存已选房源数据,开发企业将择期组织未选房家庭进行选房。
7.申购家庭应承担因自身设备、网络信号等原因造成的相关后果。
(五)购房合同签订
选房结束后,开发企业将通知选房成功的家庭,按约定时间到指定地点提交相关资料(详见附件7),并按约定时间与开发企业、政府代持机构共同签订《北京大兴区集体经营性建设用地上共有产权住房预售合同》。若申购家庭未在约定期限内签订《北京大兴区集体经营性建设用地上共有产权住房预售合同》并缴纳购房款,视为放弃认购房源,并计1次弃选。
(六)剩余房源递补
本次递补选房完成后,若本公告中的房源仍有剩余或在《北京市大兴区集体经营性建设用地上共有产权住房预售合同》签订阶段有房源退出,开发企业将按照2023年12月07日发布的《大兴区星筑星光里共有产权住房摇号结果的公告》中的摇号顺序,在公证处监督下,通知部分剩余申购家庭进行递补选房(具体通知数量视剩余房源数量确定),具体安排以开发企业通知为准,直至本公告中所有房源售罄或所有申购家庭轮序完毕,不再发布递补选房公告。
三、特别说明
(一)根据《北京市共有产权住房管理暂行办法》(京建法〔2017〕16号),对通过隐瞒家庭信息、虚假申报、伪造材料等方式,骗购共有产权住房的家庭,一经查实,开发企业将与其解除购房合同,购房家庭承担相应经济和法律责任,禁止其10年内再次申请本市各类保障性住房和政策性住房。构成犯罪的,依法追究刑事责任。
(二)购房家庭完成选房后,将再次审核购房家庭购房资格,购房家庭须如实申报家庭情况,购房家庭凡有违法建设行为,未将违法建筑物、构筑物或设施等拆除的、不符合购房资格或原选房所在组别要求的情况,不得网签,取消其购买资格。
(三)购房家庭购房款计算方式:购房总价款=房屋建筑面积×销售价格。例:如果购房家庭选择了一套建筑面积为89㎡,销售价格为29800元/㎡的房屋,该家庭需要支付的购房款为89㎡×29800元/㎡=2652200元。该家庭所占该套房屋产权份额比例为70%。
(四)根据《北京市共有产权住房管理暂行办法》(京建法〔2017〕16号)规定,购房家庭放弃选定住房或选定住房后未签订购房合同,累计两次及以上的,3年内不得再次申购共有产权住房。
(五)确有对选房系统操作困难或特殊情况(年龄大于60周岁且无家属照顾)的申购家庭也可提前预约,前往兴海星光里营销中心,在开发企业工作人员指导下进行线上选房操作。
(六)开发企业咨询、预约热线(9:00-19:00):010-88858887。
附件1:京籍剩余房源明细表

附件2:非京籍剩余房源明细表

附件3:京籍家庭各号码段选房时间段排布表

附件4:非京籍家庭各号码段选房时间段排布表

附件5:京籍、非京籍选房系统二维码


声明:本文由入驻焦点开放平台的作者撰写,除焦点官方账号外,观点仅代表作者本人,不代表焦点立场。







